Skip to content Skip to sidebar Skip to footer

Widget HTML #1

Centimeters To Meters - Convert Meters Centimeters 004 : Centimeters to meters (cm to m) conversion calculator for length conversions with additional tables and formulas.

Centimeters To Meters - Convert Meters Centimeters 004 : Centimeters to meters (cm to m) conversion calculator for length conversions with additional tables and formulas.. Convert 37 centimeters to meters let me write this over 37 i'll write senti in a different color to emphasize the prefix 37 centimeters send to meters and we want to convert it to meters so we. Start with the conversion factor: Centimeters to meters conversion calculator, conversion table and how to convert. One centimeter is 1/100 of a meter. It gives quick and accurate results based on.

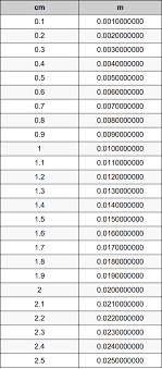
There are 100 centimeters in every meter, which means that dividing your measurement in centimeters by. Centimeters to meters (cm to m) conversion calculator for length conversions with additional tables and formulas. Centimeter (cm) is a unit of length used in metric system. 1 centimeter (cm) = 0.01 meter (m). To convert from centimeters to meters, simply divide the number of centimeters by 100 and change the units to m.

Summary Of Topographic Change At Site Az C 02 0032 M Yyyy Download Table
Summary Of Topographic Change At Site Az C 02 0032 M Yyyy Download Table from www.researchgate.net
How many centimeters in 1 meters? 1 centimeter (cm) is equal to 0.01 meter (m). Instantly convert centimeters (cm) to meters (m) and many more length conversions online. Converting between centimeters and meters. 0.2 cm = 0.002 m. To convert from centimeters to meters, simply divide the number of centimeters by 100 and change the units to m. Centimeters (cm) and meters (m) are both measurements of distance in the metric system. That means there are 100 centimeters in 1 meter.

Simple online cm to m converter for quick and easy calculations.

1 centimeter is equal to 10 millimeters For an area (2 dimentions) unit converstion, you need to take the sqare of the conversion between length (1. How do you convert centimeter to square meter? 1 centimeter (cm) = 0.01 meter (m). You also can convert 0.2 centimeter to other length (popular) units. To convert from centimeters to meters, simply divide the number of centimeters by 100 and change the units to m. 1 centimetre is 1/100 meter. We assume you are converting between centimetre and metre. The following line should be approximately 1 centimeter long Mm to cm conversion ►. Second method if you can't remember that 100 cm = 1 m, you can always use the definition of centi. Express 3,124 centimeters in meters. The strange units for the answer tell you that you have made a mistake.

That means there are 100 centimeters in 1 meter. To convert centimeters to meters, multiply by 0.01. Convert 0.2 centimeter to meters | convert 0.2 cm to m with our conversion calculator and conversion table. It gives quick and accurate results based on. Converting between centimeters and meters.

Adding And Subtracting Meters And Centimeters 3 B
Adding And Subtracting Meters And Centimeters 3 B from slidetodoc.com
You also can convert 0.2 centimeter to other length (popular) units. Express 3,124 centimeters in meters. A meter, or metre, is the fundamental unit of length in the metric system, from which all other length units are based. To convert from centimeters to meters, simply divide the number of centimeters by 100 and change the units to m. Converting between centimeters and meters. Both centimeters and millimeters are derived from the meter, a measurement of distance used in the metric system is based on decimals, there are 10mm in a centimeter and 1000mm in a meter. Mm to cm conversion ►. Convert 37 centimeters to meters let me write this over 37 i'll write senti in a different color to emphasize the prefix 37 centimeters send to meters and we want to convert it to meters so we.

This conversion of 10 centimeters to meters has been calculated by multiplying 10 centimeters by 0.01 and the result is.

Converting centimeters to meters problem. Centimeters (cm) and meters (m) are both measurements of distance in the metric system. The following line should be approximately 1 centimeter long How much are 36 centimeter in meters? The centimeter cm to micrometer µm conversion table and conversion steps are also listed. We assume you are converting between centimetre and metre. Centimeter (cm) is a unit of length used in metric system. One centimeter is 1/100 of a meter. Divide the number of centimetres by 100, quotient represents metre and remainder represents centimetres. 1 centimeter (cm) is equal to 0.01 meter (m). Centimeters to meters (cm to m) calculator, conversion table and how to convert. 1 centimeter (cm) = 0.01 meter (m). Instantly convert centimeters (cm) to meters (m) and many more length conversions online.

The m is an abbreviation for. Centimeter (cm) is a unit of length used in metric system. Converting between centimeters and meters. 1 centimeter is equal to 10 millimeters How to convert centimeters to meters?

Millimeters Centimeters Meters Kilometers Pasteurinstituteindia Com
Millimeters Centimeters Meters Kilometers Pasteurinstituteindia Com from cdn.inchcalculator.com
Start with the conversion factor: To convert centimeters to meters, multiply the for example, to find out how many meters there are in 10 centimeters, multiply 10 by 0.01, that makes. That means there are 100 centimeters in 1 meter. It gives quick and accurate results based on. A meter, or metre, is the fundamental unit of length in the metric system, from which all other length units are based. Instantly convert centimeters (cm) to meters (m) and many more length conversions online. Set up the conversion so the undesired unit will be. The strange units for the answer tell you that you have made a mistake.

Start with the conversion factor:

Centimeters (cm) and meters (m) are both measurements of distance in the metric system. Set up the conversion so the undesired unit will be. 1 centimeter (cm) is equal to 0.01 meter (m). The m is an abbreviation for. Converting between centimeters and meters. A centimeter (cm) is a decimal fraction of the meter, the international standard unit of length. The meter (symbol m) is the fundamental unit of length in the international system of units (si). How many centimeters in 1 meters? 1 meter = 100 centimeters. The centimeter cm to micrometer µm conversion table and conversion steps are also listed. Centimeters to meters (cm to m) calculator, conversion table and how to convert. You also can convert 0.2 centimeter to other length (popular) units. Download typography unit converter our powerful software utility that helps you make easy.